Skip to main content
Search IntMath
Close

2. The Remainder Theorem and the Factor Theorem

This section discusses the historical method of solving higher degree polynomial equations.

As we discussed in the previous section Polynomial Functions and Equations, a polynomial function is of the form:

f(x) = a0xn + a1xn−1 + a2xn−2 + ... + an

where

a0 ≠ 0 and

n is a positive integer, called the degree of the polynomial.

Example 1

f(x) = 7x5 + 4x3 − 2x2 − 8x + 1 is a polynomial function of degree 5.

Dividing Polynomials

First, let's consider what happens when we divide numbers.

Example (a): Say we try to divide `13` by `5`. We will get the answer `2` and have a remainder of `3`. We could write this as:

`13/5 = 2 + 3/5`

Another way of thinking about this example is:

`13 = 2 × 5 + 3`

Example (b), Long Division: In primary school, you may have learned to divide larger numbers as follows. Let's divide `3,756` by `23`.

  `163` 
`23``{:)``3756` 
  `23`We multiply `23` by `1 = 23`.
  `145``37-23 = 14`. Then bring down the `5`.
  `138`Multiply `23` by `6=138`.
  `76``145-138=7`. Bring down the `6`.
  `69`Multiply `23` by `3=69`.
  `7``76-69=7`. This is the remainder.

So we can conclude `3,756 -: 23 = 163 + 7/23`, or putting it another way, `3,756 = 163xx23 + 7`.

Division of polynomials is an extension of our number examples.

If we divide a polynomial by (x r), we obtain a result of the form:

f(x) = (x r) q(x) + R

where q(x) is the quotient and R is the remainder.

Let's now see an example of polynomial division.

Example 2

Divide f(x) = 3x2 + 5x − 8 by (x − 2).

Answer

  `3x+11` 
`x-2``{:)``3x^2+5x-8` 
  `3x^2-6x`We multiply `(x-2)` by `3x =` ` 3x^2-6x`, giving `3x^2` as the first term.
  `11x-8``5x-(-6x)` ` = 5x+6x` `=11x`. Then bring down the `-8`.
  `11x-22`Multiply `(x-2)` by `11=` `11x-22`.
  `14``-8-(-22) ` `= 14`. This is the remainder.

Thus, we can conclude that:

3x2 + 5x − 8 = (x − 2)(3x + 11) + 14

where the quotient `q(x) = 3x + 11` and the remainder `R = 14`.

We can also write our answer as:

`(3x^2+5x-8)-:(x-2)` `=(3x+11)+14/(x-2`

The Remainder Theorem

Consider f(x) = (x r)q(x) + R

Note that if we let x = r, the expression becomes

f(r) = (r r) q(r) + R

Simplifying gives:

f(r) = R

This leads us to the Remainder Theorem which states:

If a polynomial f(x) is divided by (xr) and a remainder R is obtained, then f(r) = R.

Example 3

Use the remainder theorem to find the remainder for Example 1 above, which was divide f(x) = 3x2 + 5x − 8 by (x − 2).

Answer

Since we are dividing f(x) = 3x2 + 5x − 8 by (x − 2), we let

`x = 2`.

Hence, the remainder, R is given by:

`R=f(2)=3(2)^2+5(2)-8=14`

This is the same remainder we achieved before.

Example 4

By using the remainder theorem, determine the remainder when

3x3x2 − 20x + 5

is divided by (x + 4).

Answer

If we divide by `(x − r)`, we let `x = r`.

Hence, since we are dividing by `(x + 4)`, we let `x = -4`.

Therefore the remainder

`R=f(-4)`

`=3(-4)^3-(-4)^2` `-20(-4)+5`

`=-192-16+80+5`

`=-123`

The Factor Theorem

The Factor Theorem states:

If the remainder f(r) = R = 0, then (x r) is a factor of f(x).

The Factor Theorem is powerful because it can be used to find roots of polynomial equations.

Example 5

Is (x + 1) a factor of f(x) = x3 + 2x2 − 5x − 6?

Answer

In this case we need to test the remainder `r = -1`.

`R= f(r)`

`= f(-1) `

`= (-1)^3+ 2(-1)^2- 5(-1) - 6`

`= -1 + 2 + 5 - 6`

`= 0`

Therefore, since `f(-1) = 0`, we conclude that `(x + 1)` is a factor of `f(x)`.

Exercises

1. Find the remainder R by long division and by the Remainder Theorem.

(2x4 − 10x2 + 30x - 60) ÷ (x + 4)

Answer

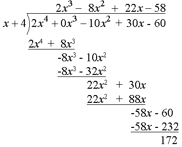
  `2x^3-8x^2+22x-58`
`x+4``{:)``2x^4+0x^3-10x^2+30x-60`
  `2x^4+8x^3`
  `-8x^3-10x^2`
  `-8x^3-32x^2`
  `22x^2+30x`
  `22x^2+88x`
  `-58x-60`
  `-58x-232`
  `172`

From the above working, we conclude the remainder is `172`.

Now, using the Remainder Theorem:

f(x) = 2x4 − 10x2 + 30x − 60

Remainder = f(−4) = 2(-4)4 − 10(−4)2 + 30(−4) − 60 = 172

This is the same answer we achieved by long division.

2. Find the remainder using the Remainder Theorem

(x4 − 5x3 + x2 − 2x + 6) ÷ (x + 4)

Answer

Applying the Remainder Theorem:

f(x) = x4 − 5x3 + x2 − 2x + 6

f(−4) = (−4)4 − 5(−4)3 + (−4)2 − 2(−4) + 6 = 606

So the remainder is `606`.

3. Use the Factor Theorem to decide if (x − 2) is a factor of

f(x) = x5 − 2x4 + 3x3 − 6x2 − 4x + 8.

Answer

f(x) = x5 − 2x4 + 3x3 − 6x2 − 4x + 8

f(2) = (2)5 − 2(2)4 + 3(2)3 6(2)2 4(2) + 8 = 0

Since `f(2) = 0`, we can conclude that `(x - 2)` is a factor.

4. Determine whether `-3/2` is a zero (root) of the function:

f(x) = 2x3 + 3x2 − 8x − 12.

Answer

`f(-3/2)=2(-3/2)^3+3(-3/2)^2-8(-3/2)` `-12`

`=(-27/4)+(27/4)+12-12`

`= 0`

So yes, `-3/2` is a root of 2x3 + 3x2 − 8x − 12, since the function value is `0`.

Tips, tricks, lessons, and tutoring to help reduce test anxiety and move to the top of the class.

top