7. Integration Mini Video Lectures
By M. Bourne
These video mini-lectures give you an overview of some of the key concepts in integration.
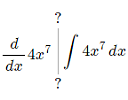
We learn some of the aspects of integral calculus that are "similar but different", like definite and indefinite integrals, and also differentiation and integration, which are actually opposite processes.
7a. The Differential (1 min 55 sec)
7b. Difference Between Differentiation and Integration (3 min 01 sec)
7c. Given dy/dx, find y = f(x) (4 min 51 sec)
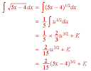
7d. Integration by Substitution (7 min 03 sec)
7e. Difference Between Definite and Indefinite Integrals (2 min 59 sec)
7f. Area Under a Curve (4 min 25 sec)





